在单指数平滑法中,使用了α这个平滑参数,值在0和1之间,它决定了预测值权重下降的速度,平滑参数越小,结果越平稳,反之则越激烈。不过,它仅仅只是水平的变化。但历史数据并出现趋势变化的特征,就需要增加一个新的参数β,其值也是0和1之间,以应对趋势这个因素。它是单指数平滑法的扩展,称为双指数平滑法,用于预测具有趋势的数据。这个方法是Holt于1957年提出,因此也叫Holt线性趋势法。
双指数平滑法的公式是
是t期的水平值,
则是t-1期的水平值
是t期的实际值
是t期的趋势值,
则是t-1期的趋势值
是t+n期的预测值
n是期数
是水平平滑常数,取值在0和1之间,读作Alpha
是趋势平滑常数,取值在0和1之间,读作Beta
计算需要上一期的水平值和趋势值为起始依据。双指数平滑法也叫Holt线性趋势法,是因为其数据特征呈现线性趋势,那么最简便的方法就是通过Excel算出线性方程,从而确立初始水平值和初始趋势值。

图4-16 线性趋势示意图
这样可以在图4-16中轻易得出线性方程,其方程式Y=1997.9X+11695,其中1998(四舍五入)作为初始水平值,11695则为初始趋势值。
表4-13

另外也可以选择Excel中的数据-数据分析-回归,得出相关的数值。


图4-17
有了初始的水平值和趋势值之后,确立相关的参数α和β的值,就可以代入公式去计算。其中α值为0.9,β值为0.5,就可以得出如下:
这样就得出了第1期的水平值为9919,趋势值为9808,预测值为13693,并如此类推,可以得到后续各期的水平值,趋势值和预测值。
在Excel处求得第1期的水平值。
表4-14 Excel中水平值的求解

在Excel处求得第1期的趋势值。
表4-15 Excel中趋势值的求解

在Excel处求得第1期的预测值。
表4-16 Excel中预测值的求解

相应的图示如图4-18:

图4-18
在知道第12期的水平值,趋势值的情况下,也可以通过公式求得第15期的预测值。
15-12是指第15期和第12期相差了3期,因此在第12期的水平值基础上,加上3期的趋势值推移,得出第15期的预测值。
3.三指数平滑法:针对水平、趋势和季节性因素
历史数据里除了水平,趋势因素,往往还含有季节性因素。双指数平滑法考虑了水平和趋势因素,使用了α和β两个参数来对应,对于季节性因素,就需要引入多一个参数γ来应对,从而变为三指数平滑法了。
三指数平滑法分为乘法模式和加法模式。其区别是季节性随着时间变化而变化,使用乘法模式;当季节性在时间变化的同时而并不变化,则使用加法模式。
乘法模式公式
是t期的水平值,
则是t-1期的水平值
是t期的实际值
是t期的趋势值,
则是t-1期的趋势值
是t期的季节性因子,
则是t-1期的季节性因子
是季节周期,比如每12个月为一个周期,则L为12,如果每4季为一个周期,则L为4
是t+n期的预测值
n是期数
是水平平滑常数,取值在0和1之间,读作Alpha
是趋势平滑常数,取值在0和1之间,读作Beta
γ 是季节平滑常数,取值在0和1之间,读作Gamma
2018年第1季度开始,到2020年第4季度,共有16期的历史数据。使用三指数平滑法,同样离不开初始值的确立,这个可以称为观测值,然后通过观测值得出的因素数值,并引用在其他周期上,这些称为实验值,最后就是希望得到预测结果的预测值。因此2018年4个季度的数值可以视为观测值,2019年第1季度到2020年第4季度的数值则为实验值,最后就是预测,如果要预测2022年全年4个季度,那么这4个季度的数值就是预测值了。
表4-17

第一步,确立观测值中的季节性因子。通过每一个季度和2018年全年平均值比较,得出各个季度的季节性因子。2018年第1季度的季节新因子就是
表4-18 Excel中季节性指数的求解

如此类推,得出2018年第1季度到第4季度的各季度季节性因子。由于2018年的全年数据作为观测值,那么水平值和趋势值初始值就是2018年的第4季度了。趋势值初始值为1875,而水平值可以根据当期的实际值,剔除季节性因素而得出,所以初始水平值就是当期实际值除以当期的季节性因子。2018年第4季度的季节性因子在之前计算得出为1.75,那么2018年第4季度的水平值就是
而趋势值可以由2019年的全年平均值和2018年的全年平均值的相比,再除以4个季度得出一个季度的值,就是视为2018年向2019年的趋势,并视为初始值。因此2018年第4季度的趋势值就是
得出了2018年第4季度的水平值,趋势值分别为14250,1875,以及2018年四个季度的季节性因子,分别为0.7,0.98,0.56和1.75,那么就可以计算出2019年第1季度的水平值,趋势值,季节性数值和预测值,而α,β,γ值均为0.5,分别套入相应的公式。
(注:实际上应该是指
,它是
,5-4中的5,为2018年第1季度开始的第5期历史数据,就是2019年第1季度的历史数据。而5-4中的4就是一年所含的周期数,即4个季度。由于结果是根据Excel计算,涉及小数点,上述公式实际结果并非19463,只是根据Excel结算而填。后面如有雷同情况,均是同样原因。)
这样就得出了第5期(即2019年第1季度)的水平值为19463,趋势值为3544,季节性因子为0.76,预测值为11316,并如此类推,可以得到后续各期的水平值,趋势值和预测值。
在Excel处求得第5期的水平值
表4-19 Excel中水平值的求解

第5期的趋势值
表4-20 Excel中趋势值的求解

第5期的季节性因子
表4-21 Excel中季节性因子的求解

第5期的预测值
表4-22 Excel中预测值的求解

实际和预测的相应图示如下:

图4-19实际值和预测值的比较图
在知道16期的水平值,趋势值,季节性因子的情况下,也可以通过公式求得第20期(即2022年第4季度)的预测值。
通过第16期的数据来预测第20期,两者相差了4期,因此有4 X 3153的发生。而实际就是第16期的季节性因子,为
,是通过
而来的,其中第一个4是指其中一年含有4个季度这个周期,即公式中的符号L,而第二个4则是指20期和16期相差的期数。
表4-23 Excel中第20期预测值的求解

(注:Excel中由于涉及了小数点的计算,和上述公式计算的结果略有差异。)
加法模式公式:
是t期的水平值,
则是t-1期的水平值
是t期的实际值
是t期的趋势值,
则是t-1期的趋势值
是t期的季节性数值,
则是t-1期的季节性数值
是季节周期,比如每12个月为一个周期,则L为12,如果每4季为一个周期,则L为4
是t+n期的预测值
n是期数
是水平平滑常数,取值在0和1之间,读作Alpha
是趋势平滑常数,取值在0和1之间,读作Beta
γ 是季节平滑常数,取值在0和1之间,读作Gamma
加法模式和乘法模式做法基本一样,都是确立初始值,数据也分为三个部分,即观测值,实验值和预测值。不过对待季节性部分,做法却不相同,乘法模式是当期的实际值和周期的平均值之比,得出季节性因子,而加法模式则是两者之差来得出季节性数值。那么2018年第1季度的季节性数值就是
表4-24 季节性数值求解

如此类推,得出2018年第1季度到第4季度的各季度季节性数值。由于2018年的全年数据作为观测值,那么水平值和趋势值初始值就是2018年的第4季度了。趋势值初始值为1875,而水平值可以根据当期的实际值,剔除季节性因素而得出,所以初始水平值就是当期实际值减去当期的季节性数值。2018年第4季度的季节性数值在之前计算得出为10750,那么2018年第4季度的水平值就是
而趋势值和乘法模式一样,由2019年的全年平均值和2018年的全年平均值的相比,再除以4个季度得出一个季度的值,就是视为2018年向2019年的趋势,并视为初始值。因此2018年第4季度的趋势值就是
得出了2018年第4季度的水平值,趋势值分别为14250,1875,以及2018年四个季度的季节性数值,分别为-4250,-250,-6250和10750,那么就可以计算出2019年第1季度的水平值,趋势值,季节性数值和预测值,而α,β,γ值分别为0.01,1和0.23,套入相应的公式。
(注:实际上应该是指
,它是
,5-4中的5,为2018年第1季度开始的第5期历史数据,就是2019年第1季度的历史数据。而5-4中的4就是一年所含的周期数,即4个季度。由于结果是根据Excel计算,涉及小数点,上述公式实际结果并非16166,只是根据Excel结算而填。后面如有雷同情况,均是同样原因。)
这样就得出了第5期(即2019年第1季度)的水平值为16166,趋势值为1916,季节性指数为-3301,预测值为11875,并如此类推,可以得到后续各期的水平值,趋势值和预测值。
在Excel处求得第5期的水平值
表4-25 Excel中水平值的求解

第5期的趋势值
表4-26 Excel中趋势值的求解

第5期的季节性数值
表4-27 Excel中季节性数值的求解

第5期的预测值
表4-28 Excel中预测值的求解

实际和预测的图示如下:

图4-20 实际值和预测值的比较图
在知道16期的水平值,趋势值,季节性数值的情况下,也可以通过公式求得第20期(即2022年第4季度)的预测值。
通过第16期的数据来预测第20期,两者相差了4期,因此有4 X 2081的发生。而实际就是第16期的季节性数值,为
,是通过
而来的,其中第一个4是指其中一年含有4个季度这个周期,即公式中的符号L,而第二个4则是指20期和16期相差的期数n。
表4-29 Excel中第20期预测值求解

(注:Excel中由于涉及了小数点的计算,和上述公式计算的结果略有差异。)
同样地,三指数平滑法,不管是加法模式,抑或是乘法模式,也可以根据实际情况的需要,和单指数平滑法一样,在完成第一次指数平滑之后,可以继续进行第二次乃至更多次的指数平滑,从而得到最优效果。
【小插曲2】预测从清洗数据开始
清洗数据是预测的一个不可缺少的步骤。如果以百分比来划分预测工作的比重,那么说数据处理和清洗数据去到工作总量的80%也不为过。当数据整理好,以致数据规律都摸清,由此预测出来的结果就容易值得满意。
现今不少常用的预测方法都是时间序列法,也就是根据过去的历史数据,把隐藏的规律应用到未来的预测中。可以说,作为预测起点的数据,起着非常重要的作用。
清洗数据,大多数都会提到,诸如削峰填谷,减去季节性因素,又或者消除促销因素,然后再做预测。那么,到底为什么要清洗数据呢?
时间序列法的数据模型一般含有四个要素,分别为水平,趋势,季节性和噪声。因此所谓的数据清洗,就是要分析,整理出这四种因素,然后剔除并尽可能还原成水平状态。水平状态可以视为正常自然的需求产生,那么以水平状态使用时间序列分析技术,把相应的规律应用在未来的预测上,然后添加涉及的其他因素,诸如趋势,季节性因素,甚至一些涉及的可能随机因素或者市场行为。
从线条图4-21来看,可以视为如下发展。从还原后的水平,水平发展,再分别加入不同的因素。当然这个是思路图,不甚严谨,仅作参考。而所谓数据清洗,就是这个线图发展的逆向发展。

图4-21
在现实世界中数据清洗还要涉及更多的处理,比如缺失值,重复值,乃至分组,还有其他各式各样的不合理值,矛盾值等的处理。
当进行数据处理后,很多时候哪怕不进行各种方法进行预测,心里也多少摸到一定规律,对未来值有个大致的范围估计。
某电商近三年的销售数据,尽管三年的实际每年总需求,月均需求都各有不同,不过通过三年的比较可以看出,基本发展特点都比较相似,而且均含有上升趋势和季节性的特点。

图4-22 某电商三年的月销售额
在这个基础上,该公司要对2022年1月进行预测,那么可以先行将数据清洗,分解出水平,趋势,季节性因素,然后预测2022年1月,接着加上相应的因素,得出模型并算出的预测值。
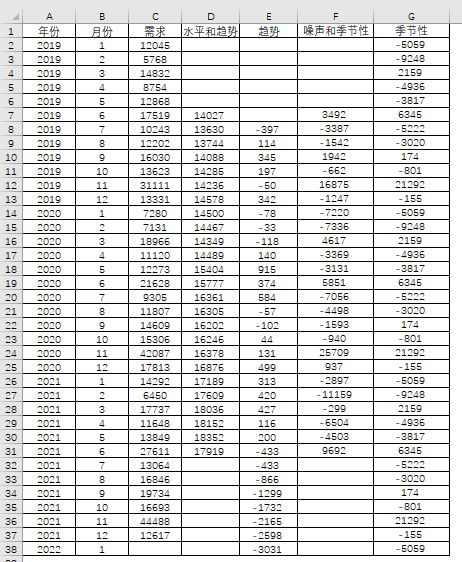
三年共36期的数据,每一年有12个月的数据,而季节性的因素是每12个月循环出现,比如3月,6月和11月都有明显的表现特征。
因此第一步,可以消除季节性和噪声的特征。移动平均是一个有效的方法,移动平均能把起伏的波动拉成相对平稳的状况,从而某种程度上,去到“削峰填谷”的作用,减少季节性带来的波动。根据观察,每12个月都会出现雷同的波动情况,那么以12个月为一个周期进行计算水平估计值。
以中间点为计算开始点,即从6月开始移动平均:

表4-30
选择6月,是因为处于中间点。如果选择12月,那么将12个月的平均值从12月开始计算,那么对于这个月来说,大部分都是“陈旧”的数据,对水平的估计代表性有所降低,反之如果选择1月,参与的数据都是较新的数据,又是另外一个极端。选择6月作为移动平均的起点,作为水平的估计值,既可以消除噪声,同时去除季节性的波动。

图4-23 不同采用月份的比较
根据图,三年的趋势是上升且有季节性波动,如果采用2019年1月作为计算起点,那么趋势上升就会加快,出现在11期(2019年11月),反之采用2019年的12月,数据反应表现滞后,在24期(2020年12月)才有出现趋势上升。因此选择2019年6月这个中心做移动平均,表现适中。
需求包含了水平,趋势,季节性和噪声,通过移动平均,去除了噪声和季节性后,剩下的就是水平和趋势。然后减去趋势,剩下的就是水平的估计值了。
趋势是本期和上一期发展的对比变化,不断地一期又一期数据累计。因此,最简单的方法就是上一期减去本期数据,就得一期的趋势变化,如此类推。那么就分解出其中一个因素:趋势。
得出2021年6月的趋势是-433,那么后续的就以这个最新的趋势进行类推,2021年7月就是第一期的-433,即-433 * 1= -433 ,假如要推测2022年1月的,类推就是7期的数据,即-433 * 7= -3031
表4-31 趋势的计算

同理,需求减去已经得知的水平和趋势后,就是噪声和季节性。
表4-32 噪声和季节性的计算

最后一步就是,拆分出季节性,就可以完整地得出各个因素了。由于季节性是每12个月重复出现,那么最简单直接的方法也是有效的,就是取平均值。因为一年中的每一个月都代表不同的季节性,取每年的1月平均值作为1月的估值,同理,2月如此。这个是加法的季节性调整,当然可以还有一种是乘法的季节性指数,就是对应的月份和平均值的比例,这个电商另行计算测试,经比较,讨论和分析,最终还是选择加法的季节性指数。
表4-33

通过图4-47的计算,得出每个月的均值之后,加入在季节性因素中。
表4-34

如此一来,得到的最新数据有,最新的水平和趋势值(2021年6月为17919),最新的趋势,2022年1月的值为-3031,还有1月的季节性值,是-5059。
得出清洗后的数据,相关人员还不忘检查一遍,避免犯上其他公司的常见错误:就是把历史销售数据假设成为历史需求数据。当销售不能满足需求,出现缺货等现象,这个历史销售就不能等同于历史需求数据了。还有其他诸如促销,市场和竞争对手行为等,都会对真实的需求造成影响。而这些工作并不能简单通过数据的治理完成,这个时候,相关人员还要联同市场部门,销售部门等对细节确认,尽可能把“脏”数据清洗出来。
当清洗数据确认完毕后,接下来就要预测2022年的数值。
表4-35

得出的2022年1月预测值为9829,包含了水平,趋势和季节性因素,当然,这不会包含随机因素,即噪声。
通过数据规律,每年的12月到次年的1月,需求有一定的下滑出现,那么预测出来的值也含有雷同的规律。

图4-24
某电商通过数据清洗,分解出不同因素后,从而利用简单的方法对下一期的需求进行预测。

不详